KOL Pulse — Trial Profile

CodeBreaK 300 Trial

Chemorefractory KRAS G12C-mutated metastatic colorectal cancer — Amgen

Chemorefractory KRAS G12C-mutated metastatic colorectal cancerLumakras + VectibixESMO 2023 / ASCO 2024 OS update✓ FDA Approved (2025-01)
Visit Interactive Trial Page →

Top KOLs Discussing CodeBreaK 300

FDA Oncology
FDA Oncology
@FDAOncology
52.1K impressions
Adam Feuerstein
Adam Feuerstein
@adamfeuerstein
8.6K impressions
Erman Akkus
Erman Akkus
@Erman_Akkus
8.4K impressions
Arndt Vogel
Arndt Vogel
@ArndtVogel
1.6K impressions
Dr. Marwan G. Fakih
Dr. Marwan G. Fakih
@mgfakih
1.2K impressions
Dr. Iván R. González
Dr. Iván R. González
@Dr_Ivanoncologo
866 impressions

CodeBreaK 300 Key Slides & Visuals

Official trial slides and relevant visuals shared by KOLs at ESMO 2023 / ASCO 2024 OS update. Click any image to expand.

Erman Akkus
Erman Akkus @Erman_Akkus
CodeBreaK 300 Data
8.4K impressions · 52 likes · Apr 12, 2025
View on X ↗
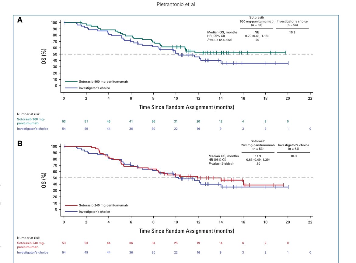
[Slide 1] Pietrantonio et al A Sotorasib 100 960 mg-panitumumab Investigator's choice (n 53) (n 54) 90 Median os, months NE 10.3 80 HR (95% CI) 0.70 (0.41, 1.18) 70 Pvalue (2-sided) .20 60 50 40 30 20 10 Sotorasib 960 mg-panitumumab 0 Investigator's choice T 0 2 4 6 8 10 12 14 16 18 20 22 Time Since Random Assignment (months) Number at risk: Sotorasib 960 mg- 53 51 46 41 36 31 20 12 4 3 0 panitumumab Investigator's choice 54 49 44 36 30 22 16 9 3 2 1 0 B Sotorasib 100 240 mg-panitumumab Investigator's choice (n - 53) (n 54) 90 Median os, months 11.9 10.3 80 HR (95% CI) 0.83 (0.49, 1.39) 70 Pvalue (2-sided) .50 60 50 40 30 20 10 Sotorasib 240 mg-panitumumab 0 Investigator's choice 0 2 4 6 8 10 12 14 16 18 20 22 Time Since Random Assignment (months) Number at risk: Sotorasib 240 mg- 53 53 44 36 34 25 19 14 6 2 0 panitumumab Investigator's choice 54 49 44 36 30 22 16 9 3 2 1 0 --- [Slide 2] C D Investigator's Sotorasib 960 mg- HR for disease Investigator's Sotorasib 240 mg- HR for disease choice panitumumab progression choice panitumumab progression Subgroup Number of patients or death (95% CI) Number of patients or death (95% CI) All randomly assigned patients 54 53 0.70 (0.41, 1.18) 54 53 0.83 (0.49, 1.39) Age, years <65 26 32 1.10 (0.54, 2.22) 26 39 1.36 (0.70, 2.63) >65 28 21 0.34 (0.14, 0.85) 28 14 0.40 (0.13, 1.25) Sex Male 24 29 0.84 (0.41, 1.76) 24 26 0.90 (0.43, 1.90) Female 30 24 0.53 (0.25, 1.09) 30 27 0.80 (0.38,1.69) Time from initial diagnosis of metastatic disease to random assignment >18 months 31 29 0.59 (0.27, 1.30) 31 29 0.74 (0.35, 1.57) <18 months 23 24 0.74 (0.36, 1.54) 23 22 0.92 (0.45, 1.91) Sidedness Right sided 16 24 0.82 (0.36, 1.88) 16 17 0.63 (0.23, 1.69) Left sided 37 28 0.67 (0.32, 1.40) 37 36 1.01 (0.55, 1.86) Primary tumor location Colon 37 37 0.87 (0.46, 1.63) 37 32 10 0.72 (0.36, 1.43) Rectum 17 16 0.41 (0.15, 1.10) 17 21 1.00 (0.46, 2.16) Number of prior therapy lines for metastatic disease 1-2 27 36 0.76 (0.38, 1.51) 27 29 Hot 0.88 (0.45, 1.75) >3 27 17 0.85 (0.38, 1.92) 27 24 0.78 (0.36, 1.67) Liver metastasis Yes 38 38 0.66 (0.36, 1.23) 38 36 0.97 (0.53, 1.75) No 16 15 0.39 (0.10, 1.49) 16 17 0.41 (0.13, 1.23) - 0.01 1 100 0.01 1 100 Sotorasib 960 mg- Investigator's Choice Sotorasib 240 mg- Investigator's Choice Panitumumab Better Better Panitumumab Better Better FIG 2. os of sotorasib-panitumumab versus investigator's choice. (A) Kaplan-Meier curves of os for sotorasib 960 mg-panitumumab (full analysis set). (B) Kaplan-Meier curves of os for sotorasib 240 mg-panitumumab (full analysis set). (C) Forest plot of sotorasib 960 mg-panitumumab treatment effect on os in subgroup analyses. (D) Forest plot of sotorasib 240 mg-panitumumab treatment effect (continued on following page) --- [Slide 3] 8 Overall Survival Analysis of the Phase III CodeBreaK 300 Study of Sotorasib Plus Panitumumab Versus Investigator's Choice in Chemorefractory KRAS G12C Colorectal Cancer Filippo Pietrantonio, MD ; Lisa Salvatore, MD²,³ ; Taito Esaki, MD4 ; Dominik Paul Modest, MD5 : David Paez Lopez-Bravo, MD6; Julien Taieb, MD7 ID ; Michalis V. Karamouzis, MD8 ; Erika Ruiz-Garcia, MD ID ; Tae Won Kim, MD¹⁰ ; Yasutoshi Kuboki, MD¹¹ ; Fausto Meriggi, MD¹²; David Cunningham, MD¹³ : Kun-Huei Yeh, MD, PhD,¹⁴,¹⁵ ID ; Emily Chan, MD, PhD16; Joseph Chao, MD¹⁶ : Qui Tran, PhD¹⁶ ; Chiara Cremolini, MD¹⁷ ; and Marwan Fakih, MD¹⁸ DOI https://doi.org/10.1200/JCO-24-02026 ABSTRACT ACCOMPANYING CONTENT In the phase III CodeBreaK 300 study, sotorasib 960 mg-panitumumab significantly pro- Appendix longed progression-free survival (PFS) versus investigator's choice (trifluridine/tipiracil or \ Data Sharing regorafenib) in patients with KRAS G12C-mutated chemorefractory metastatic colorectal Statement cancer (mCRC). One hundred sixty patients were randomly assigned 1:1:1 to receive sotorasib / Protocol 960 mg-panitumumab (n = 53), sotorasib 240 mg-panitumumab (n = 53), or investigator's ded from ascopubs.org by 78.175.224.177 on April 12, 2025 from 078.175.224.177 choice (n = 54; crossover permitted after primary analysis). Overall survival (OS) analysis, a Accepted February 21, 2025 key secondary end point, although not adequately powered, was prespecified at 50% ma- pyright c 2025 American Society of Clinical Oncology. All rights reserved. Published April 11, 2025 turity (after approximately 80 deaths). In this study, we report the os, updated overall response rates (ORRs), and data for safety. After a median follow-up of 13.6 months, J Clin Oncol 00:1-8 24, 28, and 30 deaths occurred in the sotorasib 960 mg-panitumumab, sotorasib 240 mg- c 2025 by American Society of panitumumab, and investigator's choice arms, respectively; updated objective response Clinical Oncology rates (ORRs; 95% CI) were 30.2% (95% CI, 18.3 to 44.3), 7.5% (95% CI, 2.1 to 18.2), and 1.9% (95% CI, 0.0 to 9.9), respectively. Compared with investigator's choice, the hazard ratios (HRs [95% CI]) for OS were 0.70 (95% CI, 0.41 to 1.18; two-sided P = .20) with sotorasib View Online Article 960 mg-panitumumab and 0.83 (95% CI, 0.49 to 1.39; two-sided P = .50) with sotorasib 240 mg-panitumumab. No new safety signals were observed. Although not statistically significant, the observed OS HR and ORR along with prior PFS and safety findings support sotorasib 960 mg-panitumumab as a standard of care in patients with chemorefractory KRAS G12C mCRC. Creative Commons Attribution Non-Commercial No Derivatives 4.0 License
Arndt Vogel
Arndt Vogel @ArndtVogel
CodeBreaK 300 Data
1.6K impressions · 29 likes · Jan 17, 2025
View on X ↗
[Slide 1] FDA U.S. FOOD & DRUG Q Search Menu ADMINISTRATION Home / Drugs / Development & Approval Process I Drugs / Drug Approvals and Databases / Resources for Information I Approved Drugs / FDA approves sotorasib with panitumumab for KRAS G12C-mutated colorectal cancer FDA approves sotorasib with panitumumab for KRAS G12C-mutated colorectal cancer f Share X Post in Linkedin Email Print On January 16, 2025, the Food and Drug Administration approved sotorasib (Lumakras, Resources for Information Content current as of: I Approved Drugs Amgen Inc.) with panitumumab (Vectibix, Amgen Inc.) for adult patients with KRAS G12C- 01/16/2025 mutated metastatic colorectal cancer (mCRC), as determined by an FDA-approved test, Oncology who have received prior fluoropyrimidine-, oxaliplatin-, and irinotecan-based Regulated Product(s) (Cancer)/Hematologic chemotherapy. Drugs Malignancies Approval Oncology Notifications Today, the FDA also approved the therascreen KRAS RGQ PCR Kit (QIAGEN GmbH) as a companion diagnostic device to aid in identifying patients with colorectal cancer whose Ongoing Cancer tumors harbor KRAS G12C mutations and who may be eligible for Lumakras with Vectibix. Accelerated Approvals
Dr. Iván R. González
Dr. Iván R. González @Dr_Ivanoncologo
CodeBreaK 300 Data
866 impressions · 16 likes · Jan 17, 2025
View on X ↗
[Slide 1] FDA U.S. FOOD & DRUG ADMINISTRATION
OncLive.com
OncLive.com @OncLive
CodeBreaK 300 Data
546 impressions · 3 likes · Mar 4, 2025
View on X ↗
[Slide 1] OncLive ON AIR® Insight Into the Latest FDA Approvals Dr Fakih discusses the significance of the FDA approval of sotorasib plus panitumumab for the treatment of adult patients with KRAS G12C-mutated mCRC, key findings from the pivotal CodeBreaK 300 trial, and how this combination fits into the current KRAS G12C-mutated mCRC treatment paradigm. Marwan G. Fakih, MD #OncLiveOnAir City of Hope Download episodes from iTunes or onclive.com/podcasts
Suneel Kamath MD
Suneel Kamath MD @SKamath_MD
CodeBreaK 300 Data
349 impressions · 2 likes · Jun 3, 2024
View on X ↗
[Slide 1] Secondary Endpoint: Protocol-Specified Final OS in Intent- to-Treat Population - Solorasib 960 mg Botorasib 240 mg Investigator's I I 2 " - Panitumumab + Panitumumab Choice M (s* 53) in 53) in 54) 0 - Median (95% CI) 05, Soloras $60 mg . Paniumumab NE (B.6-NE) 11.9(7,5-NE) 103(7.0-NE) months' . investigator's Choice - , , - HR (95% City 0.70 (0.41-1.15) 0.83 (0.49-1.39) - . - : . a 4 Months From Randomization - / - - " - - - - . . . . Pivalue (2-sided) 0.20 0.50 - 1 - - - . . I . . - - - - - - Number of deaths (%) 24(45) 28 (53) 30(56) - I I 2 a - $ - After a median follow-up of 13.6 months, sotorasib (240 mg - - and 960 mg) . panitumumab showed a trend of improved Solorasb 240 mg . Panitumab os versus Investigator's choice, with 30% reduction In risk . Investigator's Choice a . - 4 1 - 16 - . of death for sotorasib 960 mg . panitumumab . - From - - - - . : - 1 . . . : - - - I . - . - - - - father - extrat, - W&Ch - - by - - = - - - or Ch , - dated - proportional - - - - node or - 112 - adcass - - - supe os - - Information and grad registered) $ almoted any - - exampled - Date - M December - a - and MR Asset - ASCO - - - - Marwan 0. Faith MD ENDOLEDGE CANCER 2024 ASCO #ASCO24 - - - . | ANNUAL MEETING - -

CodeBreaK 300 Top Tweets

Top tweets by impressions — click to view on X

FDA Oncology
FDA Oncology@FDAOncology

FDA approves sotorasib with panitumumab for KRAS G12C-mutated colorectal cancer

https://t.co/Ile5FhDjjX

#OCENewsBurst

👁 52.1K ♡ 35 ↻ 21 Jan 16, 2025
Adam Feuerstein
Adam Feuerstein@adamfeuerstein

$AMGN

The U.S Food and Drug Administration (FDA) extended the Prescription Drug User Fee Act (PDUFA) date for the Phase 3 CodeBreaK 300 study of LUMAKRAS plus Vectibix vs. investigator&#x27;s choice of…

👁 8.6K ♡ 10 ↻ 2 Oct 30, 2024
Erman Akkus
Erman Akkus@Erman_Akkus

💊Final OS analysis of CodeBreak-300
@JCO_ASCO

➡️Sotorasib 960 + panitumumab vs. inv. choice
✅ORR: 30.2% vs 1.9%
✅mPFS: 5.6 vs 2 mo.
HR: 0.48 (0.30-0.78), p=.005
❓mOS: Not reached vs. 10.3 mo
HR:…

👁 8.4K ♡ 52 ↻ 17 Apr 12, 2025
Arndt Vogel
Arndt Vogel@ArndtVogel

FDA approves sotorasib with panitumumab for KRAS G12C-mutated colorectal cancer
👉Based on CodeBreaK 300
👉mPFS 5.6 vs 2 mo, ORR 26% vs 0, no OS benefit most likely due to crossover
🧐Looking forward to…

👁 1.6K ♡ 29 ↻ 3 Jan 17, 2025
Dr. Marwan G. Fakih
Dr. Marwan G. Fakih@mgfakih

Overall Survival Analysis of the Phase III CodeBreaK 300 Study of Sotorasib Plus Panitumumab Versus Investigator&#x27;s Choice in Chemorefractory KRAS G12C Colorectal Cancer | Journal of Clinical Oncology…

👁 1.2K ♡ 14 ↻ 7 Apr 12, 2025
Dr. Iván R. González
Dr. Iván R. González@Dr_Ivanoncologo

🚨 FDA approves sotorasib + panitumumab for metastatic #colorectalcancer with KRAS G12C mutation 🚨

✅ Key results (CodeBreaK 300):
-Median PFS: 5.6 months vs. 2 months (standard treatment).
-ORR: 26%…

👁 866 ♡ 16 ↻ 3 Jan 17, 2025
M. Bolton
M. Bolton@5_utr

“Although not statistically significant, the observed OS HR and ORR along with prior PFS and safety findings support sotorasib 960 mg-panitumumab as a standard of care”

Spin alert 😵‍💫…

👁 668 ♡ 12 ↻ 1 Apr 13, 2025
OncLive.com
OncLive.com@OncLive

Tune in to hear @mgfakih of @cityofhope discuss the significance of this approval, key findings from the pivotal CodeBreaK 300 trial, and how this combination fits into the current KRAS G12C–mutated…

👁 546 ♡ 3 ↻ 0 Mar 4, 2025
Bassam Sonbol
Bassam Sonbol@sonbol_bassam

Phase III CodeBreaK 300: In chemorefractory KRAS G12C-mut mCRC, sotorasib 960mg + panitumumab improved PFS (5.7 vs 2.0 mo; HR 0.45) &amp; ORR (30% vs 2%) vs SOC. OS trend favored combo (HR 0.70), but…

👁 464 ♡ 6 ↻ 1 Apr 13, 2025
GI Oncology Now
GI Oncology Now@GiOncNow

🧪 @SKamath_MD discusses exciting data from the CodeBreaK 300 trial along with @adasarimd and @doctorC369.

📺 The panel also discusses the use of ctDNA in adjuvant settings and sequencing challenges…

👁 385 ♡ 7 ↻ 3 Jul 24, 2024

About the CodeBreaK 300 Trial

CodeBreaK 300 established sotorasib + panitumumab as the first FDA-approved targeted therapy for KRAS G12C-mutated mCRC after progression on chemotherapy. Biomarker-directed approach requires KRAS G12C testing. Complements BREAKWATER (BRAF V600E + anti-EGFR) in the growing landscape of genotype-directed mCRC regimens.

FDA Approval

FDA APPROVED Lumakras + Vectibix — Sotorasib (Lumakras) in combination with panitumumab (Vectibix) for adults with KRAS G12C-mutated, chemorefractory metastatic colorectal cancer.

FDA approval date: 2025-01-16.

📄 Source: FDA Press Release →

Trial Methodology & Results

Progression-Free Survival (PFS) — Primary Endpoint

Median: 5.6 months (sotorasib 960 mg + panitumumab) vs. 2.2 months (SoC (trifluridine/tipiracil or regorafenib)). HR 0.49 (95% CI 0.30-0.80), P=0.006 Primary analysis (Fakih et al., NEJM 2023): median PFS 5.6 months with sotorasib 960 mg + panitumumab vs. 2.2 months with SoC (trifluridine/tipiracil or regorafenib); HR 0.49 (95% CI 0.30-0.80, P=0.006). Median follow-up 13.6 months at primary analysis. ORR 26% vs. 0% (SoC).

✓ mPFS 5.6 vs. 2.2 mo (HR 0.49)

📄 Source: KOL commentary on X →

Overall Survival (OS)

Median: NE (not estimable) (sotorasib 960 mg + panitumumab) vs. 10.3 months (SoC). HR 0.7 (95% CI 0.41-1.18), P=0.2 Overall survival descriptive analysis (per ASCO 2024 update slide): median OS not estimable with sotorasib 960 mg + panitumumab vs. 10.3 months with SoC; HR 0.70 (95% CI 0.41-1.18, P=0.20). Trend favoring the combination but did not reach statistical significance at interim. FDA approval (Jan 16, 2025) was based on the PFS and ORR benefit; OS data continue to mature.


📄 Source →

Safety & Tolerability

Safety profile consistent with individual component agents — sotorasib GI and hepatic AEs combined with panitumumab skin/infusion AEs. Detailed Grade ≥3 TRAE rates pending full publication.

Consistent with component agent profiles

📄 Source →

Clinical Implications

First targeted therapy for KRAS G12C mCRC post-chemotherapy. CodeBreaK 300 established sotorasib + panitumumab as the first FDA-approved targeted therapy for KRAS G12C-mutated mCRC after progression on chemotherapy. Biomarker-directed approach requires KRAS G12C testing. Complements BREAKWATER (BRAF V600E + anti-EGFR) in the growing landscape of genotype-directed mCRC regimens.

CodeBreaK 300 in the News

Key KOL Sentiments — CodeBreaK 300

DoctorSentimentComment
FDA Oncology ● NEUTRAL FDA approves sotorasib with panitumumab for KRAS G12C-mutated colorectal cancer https://t.co/Ile5FhDjjX #OCENewsBurst
Adam Feuerstein ● NEUTRAL $AMGN The U.S Food and Drug Administration (FDA) extended the Prescription Drug User Fee Act (PDUFA) date for the Phase 3 CodeBreaK 300 study of LUMAKRAS plus Vectibix vs. investigator's choice of therapy in KRAS G12C–mutated metastatic colorectal cancer (CRC) from October 17,
Erman Akkus ● NEUTRAL 💊Final OS analysis of CodeBreak-300 @JCO_ASCO ➡️Sotorasib 960 + panitumumab vs. inv. choice ✅ORR: 30.2% vs 1.9% ✅mPFS: 5.6 vs 2 mo. HR: 0.48 (0.30-0.78), p=.005 ❓mOS: Not reached vs. 10.3 mo HR: 0.70 (0.41 to 1.18), p=.20 👉https://t.co/VD57YthIFZ @OncoAlert @brunolarvol https://t.co/KsW88wWT3N
Arndt Vogel ● NEUTRAL FDA approves sotorasib with panitumumab for KRAS G12C-mutated colorectal cancer 👉Based on CodeBreaK 300 👉mPFS 5.6 vs 2 mo, ORR 26% vs 0, no OS benefit most likely due to crossover 🧐Looking forward to see data in earlier lines... @myESMO https://t.co/3middofQ9G
Dr. Marwan G. Fakih ● NEUTRAL Overall Survival Analysis of the Phase III CodeBreaK 300 Study of Sotorasib Plus Panitumumab Versus Investigator's Choice in Chemorefractory KRAS G12C Colorectal Cancer | Journal of Clinical Oncology https://t.co/C1lRFyzE3D Meaningful clinical benefits for KRAS G12C MCRC!
Dr. Iván R. González ● NEUTRAL 🚨 FDA approves sotorasib + panitumumab for metastatic #colorectalcancer with KRAS G12C mutation 🚨 ✅ Key results (CodeBreaK 300): -Median PFS: 5.6 months vs. 2 months (standard treatment). -ORR: 26% vs. 0%. -Median DOR: 4.4 months. ⚠️ Common adverse reactions: rash, diarrhea, https://t.co/lT2cE5ljk2
M. Bolton ● NEUTRAL “Although not statistically significant, the observed OS HR and ORR along with prior PFS and safety findings support sotorasib 960 mg-panitumumab as a standard of care” Spin alert 😵‍💫 https://t.co/MbTOWJ5Knf
OncLive.com ● NEUTRAL Tune in to hear @mgfakih of @cityofhope discuss the significance of this approval, key findings from the pivotal CodeBreaK 300 trial, and how this combination fits into the current KRAS G12C–mutated mCRC treatment paradigm. https://t.co/jZq9FTDOBK https://t.co/x4hQI9CuUi
Bassam Sonbol ● NEUTRAL Phase III CodeBreaK 300: In chemorefractory KRAS G12C-mut mCRC, sotorasib 960mg + panitumumab improved PFS (5.7 vs 2.0 mo; HR 0.45) &amp; ORR (30% vs 2%) vs SOC. OS trend favored combo (HR 0.70), but not statistically significant. #CRCsm #OncTwitter #GIonc https://t.co/YO1R9bquUg
GI Oncology Now ● NEUTRAL 🧪 @SKamath_MD discusses exciting data from the CodeBreaK 300 trial along with @adasarimd and @doctorC369. 📺 The panel also discusses the use of ctDNA in adjuvant settings and sequencing challenges in #colorectal cancer: https://t.co/OkE8eDKdbn https://t.co/kZd91A6nQ2
Suneel Kamath MD ● NEUTRAL CodeBreaK 300 update: Overall survival looks pretty similar between sotorasib 960 + panitumuab vs. Investigator choice chemo. Will adagrasib do better? #ASCO24 https://t.co/9yI69xFkqP
Dr Akhil Santhosh ● NEUTRAL Overall Survival Analysis of the Phase III CodeBreaK 300 Study of Sotorasib Plus Panitumumab Versus Investigator's Choice in Chemorefractory KRAS G12C Colorectal Cancer @JCO_ASCO https://t.co/UKDnu300GV
GI Oncology Now ● NEUTRAL 📺 @FilippoPietran4 spoke with @NataliyaUboha on the overall survival results of CodeBreaK 300 trial, which investigated #sotorasib plus #panitumumab versus investigator’s choice of therapy for KRAS G12C-mutated metastatic #colorectal cancer: https://t.co/hM0dOxHOJJ https://t.co/P3gzXL0pAs
Bassam Sonbol ● NEUTRAL 27% on control arm received g12c inhibitor+EGFR mab combo off study https://t.co/sJJ5pxzCuV
Dr Amol Akhade ● NEGATIVE @brunolarvol @OncNursingNews Codebreak 300 is not powered for OS. So you are doing a study in chemorefractory metastatic colon cancer, in which survial is limited ( in months ) and then u don't power your study for OS and then u expect @US_FDA to give you red carpet , then thats not going happen.
Bishal Gyawali, MD, PhD, FASCO ● NEGATIVE @SuyogCancer Wow, this is a really bad report, violating several principles of CSO RCT Checklist for trial reporting. There are also issues with trial design. This can be an example of how not to report trials, similar to the Ariel-4 trial: https://t.co/vL0gN9aKkX